1、引言
21世紀是海洋的世紀,開發利用海洋空間和海洋資源成為世界海洋強國競爭重要領域。所有海洋資源的開發都離不開海洋工程設備的支持,海洋科學依賴于大潛深潛水器的成功研制[2-3]。鈦合金具有比強度高、耐腐蝕性能好、熱穩定性好、延展性和韌性好、加工性好等優點[4-5]。鈦合金耐壓殼體作為潛水器載體結構的關鍵部件,能承受千米級深水壓力,要求殼體高質量焊接[6]。窄間隙焊接技術具有熱輸入小、焊后變形小和焊接過程穩定等優點,滿足高質量合金耐壓殼體精密焊接需求[7-9]。
多層多道焊接過程普遍存在多次熱循環(thermal cycling,TC)影響接頭微觀結構和力學性能。孫清潔等人[10]采用磁控窄間隙鎢極惰性氣體保護焊(TIG)焊接56mm厚Ti-6Al-4V試板,發現接頭各區的組織、結晶形態及生長方向存在很大差異。張宇軒等人[11]發現鈦合金焊接接頭處晶粒尺寸從母材區向焊縫區逐漸增大,組織及力學性能存在明顯的不均勻性。Yang等人[12]采用雙面窄間隙TIG單道多層焊接技術焊接TC4鈦合金發現,冷卻速度差異導致焊縫和熱影響區內馬氏體形態變化。焊接接頭打底層具有與母材相當的抗拉強度和延展性;填充層焊縫及層間結合區出現織構強化、晶界強化,表現出高強度低塑性的特點。Long等人[13]采用電子束雙面多層焊接的方法焊接140mmTC4鈦合金,發現焊縫區微觀組織和力學性能在厚度方向存在明顯的不均勻性,兩焊縫根部重疊區域是接頭在高循環疲勞性能測試中最弱部分。研究發現散熱條件的差異是導致焊接接頭沿厚度方向微觀組織和力學性能不均勻的關鍵因素。增材過程中也存在類似的現象及結論。Zhou等人[14]發現增材過程中沉積金屬在后續的熱循環過程中會受到高溫停留時間和冷卻速度的影響,更多的合金元素溶解到β相中,進而影響最終的微觀結構。王壯等人[15]發現在增材制造過程中先沉積的金屬會受到后沉積金屬的熱處理作用,熱循環曲線發生改變,高溫停留時間與冷卻速度發生改變,進而影響最終的微觀結構。Guo等人[16]發現低于β轉變溫度的熱循環次數較多的區域更有可能充滿具有交織分布的a相,這是由于元素分布不均勻造成的。該區域表現出較大的拉伸強度和顯微硬度,最終沉積試樣力學性能存在明顯的各向異性。
本工作針對擺動送絲磁控電弧窄間隙焊接技術成的60mm厚TC4鈦合金焊接接頭展開分析。對接頭不同熱循環次數的位置取樣,進行微觀組織分析及顯微硬度和拉伸性能測試,結合數值模擬獲得的熱循環曲線,分析了熱循環作用對窄間隙焊接接頭顯微組織和力學性能的影響,建立了不同熱循環溫度和循環次數與材料微觀組織和力學性能的對應關系。
2、實驗
采用擺動送絲磁控電弧窄間隙焊接系統進行焊接試驗,其設備組成如圖1所示。該設備包含TIG焊槍系統、磁控電弧系統、擺動送絲系統、氣體保護系統和機械手臂。TIG焊槍系統包含TIG焊槍、送絲機、數字調節直流TIG弧焊電源(松下YC-500TX4);磁控電弧系統和擺動送絲系統為自主研發設備,其核心機制在于利用磁控電源向定制的兩組電磁線圈輸入可調節的方波交流電,利用電磁線圈的電磁感應原理產生的交變磁場,實現了對電弧擺動和焊絲擺動的精確控制;氣體保護系統包含尾部保護拖罩和背面保護裝置,通過電磁氣閥控制通入純度99.99%的氬氣;整套磁控窄間隙焊接設備由發那科(FANUC)機械手臂夾持,所有系統通過PLC控制,可實現自動焊接過程持續穩定可靠工作。
選用深海耐壓結構常用的TC4鈦合金為母材。為滿足超大尺寸、低殘余應力、高質量合金耐壓殼體精密焊接需求,其接頭形式采用雙U窄間隙坡口對接的形式。試板整體尺寸為600mm270mm60mm,坡口采用雙面U型坡口,底部圓弧半徑為5mm,坡口角度為5°,鈍邊厚度2mm。焊絲采用直徑1.2mm的ERTC4鈦合金焊絲。表1和表2為TC4鈦合金母材和ERTC4鈦合金焊絲的化學成分和力學性能。焊前采用砂紙和丙酮處理試板表面,去除氧化層和油污。基于前期的工藝研究基礎[9],采用的焊接工藝參數為:焊接電流220A,焊接速度9cm/min,送絲速度2.2m/min,磁場強度6mT,交變磁場頻率5Hz,焊絲擺動幅度6mm,擺動頻率100Hz。
焊接后,采用線切割對樣品進行切割,從焊接接頭中提取包含整個焊接接頭的尺寸為60mm20mm5mm的樣品,依次使用梯度粒徑砂紙打磨后,使用50μm二氧化硅拋光液拋光至鏡面。宏觀組織結構表征使用Keller試劑(10mLHF+25mLHNO3+65mLH2O)對待觀察的試樣蝕刻100s,采用光學顯微鏡(OM,DSX510)觀察。微觀組織結構表征使用Keller試劑(3mLHF+12mLHNO3+85mLH2O)對待觀察的試樣蝕刻10s,采用掃描電子顯微鏡(SEM,MERLINCompact)和電子背散射(EBSD)觀察微觀組織和拉伸斷口形貌。
采用HV-1000DT型維氏顯微硬度計進行焊縫、熱影響區和母材的顯微硬度測試。測試點之間相距0.5mm,加載荷載為3N,施加載荷的時間為15s。使用線切割機切取拉伸試樣,試樣的位置和尺寸如圖2a、2b所示,圖2a是俯視圖,圖2b是截面圖。使用材料試驗機(UTM5105X)對拉伸試樣進行常溫拉伸性能測試,設定拉伸速度為2mm/min。選取相同層3個拉伸試樣進行拉伸實驗,取平均值作為接頭焊縫的拉伸強度和延伸率。

表1TC4鈦合金母材和焊絲的化學成分
Table 1 Chemical composition of TC4 titanium alloy and ERTC4 welding wire(wt%)
| Material | Al | C | N | H | V | Fe | Ti |
| TC4 | 6.12 | 0.08 | 0.02 | 0.01 | 4.11 | ≤0.25 | Bal. |
| ERTC4 | 5.5-6.5 | ≤0.08 | ≤0.05 | ≤0.015 | 3.5-4.5 | ≤0.30 | Bal. |
表2 TC4鈦合金母材力學性能
Table 2 Mechanical properties of TC4 titanium alloy
| Material | Tensile strength/MPa | Yield strength/MPa | Elongation/% |
| TC4 | 950 | 875 | 11 |

3、結果與分析
3.1焊接接頭宏觀形貌
采用擺動送絲磁控電弧窄間隙焊接技術完成了60mm厚TC4鈦合金板的焊接,所獲得的焊接接頭截面形貌(橫置)如圖3所示。焊接接頭側壁熔合良好,焊道層間輪廓清晰明顯,未出現氣孔、裂紋、夾渣及未熔合等焊接缺陷。由于采用雙U鈍邊坡口,兩側的焊縫組織演變規律相似,因此只對單側焊縫進行研究。

可以看到隨著層數增加,到達上表面時,變成粗大的β柱狀晶。部分柱狀β晶粒甚至由底部和側壁指向上表面貫穿了數道焊縫。隨著焊接層數增加,由于鈦合金導熱性差,熔池高溫停留時間較長,β相會快速長大。受競爭生長機制影響,β相會沿溫度梯度反方向擇優生長,窄間隙坡口形式使熔池增加了散熱面積,因此β相從熔池底部和兩側向熔池上表面生長,直至彼此相遇后停止。受外延機制的影響,柱狀β晶粒跨越了層間位置,此外,相鄰兩層焊接會出現重熔部分,受外延機制的影響β晶粒具有明顯的擇優取向,因此熔池凝固過程中會沿上一道擇優生長的β晶粒繼續生長,最終形成跨越了相鄰層的粗大的柱狀晶。
3.2熱循環對焊接接頭微觀形貌的影響
圖4為ABAQUS輸出的理論熱循環曲線。“Remelt”循環曲線代表了當前道次填充層在下一道填充時出現重熔,這屬于固液相變并不屬于熱循環的范疇,因此將重熔部分視為經歷后續熱循環的起點。TC4鈦合金具有穩定的微觀結構,可以在500℃以下穩定使用,因此只分析超過500℃的焊接過程。從圖中可以看出,填充層共經歷了3次熱循環(1441、1042和718℃),微觀組織將發生明顯改變。為了便于分析,選取能區分熱循環次數的最后幾道焊縫,并在圖3中標記了典型取樣位置。

圖5和圖6為經歷不同次數熱循環的焊縫的微觀組織形貌。如圖4所示,第1次熱循環峰值溫度(1441℃)遠高于β相轉變溫度(950℃),因此發生了a→β的完全轉變。由于存在重熔區,這意味著原始β晶粒發生合并,這將導致β晶界附近β取向將沿著合并后的晶粒擇優取向轉變。這一過程導致冷卻過程中沿αGB產生的α群落與之前的不同,這可以通過α群落數量增多且方向較為統一看出。同樣,由于α相的完全轉變,如圖5b、5b所示,微觀組織仍保持網籃組織形貌,但取向發生了明顯的改變,如圖6b所示。第1次熱循環將吞并擇優取向較弱的a群落,使其取向多樣性減弱。此外,由于冷卻速率較慢,組織在高溫停留時間較長,導致板條α平均寬度(W由0.91±0.09μm增加到1.25±0.22μm。第2次熱循環峰值溫度(1042℃)高于β相轉變溫度,仍然發生a→β的完全轉變。這意味著整個區域的a取向幾乎沒有發生改變,因為完全轉變將進一步強化擇優取向的α群落生長。如圖5c、5c所示,轉變形成的a群落變得更加粗大,板條α平均寬度由1.25±0.22μm增加到1.38±0.29μm。第3次熱循環由于溫度(718℃)低于β相轉變溫度,只有部分α相轉變為β相,如圖5d、5d所示,白色框圖中a群落的形貌發生改變,因此發生了α→β→α轉變。此外α→β轉變導致a間距減小,在襯度上不再表現出明顯區別,板條α平均寬度由1.38±0.29μm降低至1.02±0.18μm。如圖6d所示,擇優取向消失,取向多樣性有所增強。總的來說,經過3個熱循環后,α相逐漸被來自其他區域的板條所占據,這是由于相鄰的先前β晶粒的生長造成的,也是由于相同β晶粒內其他α相的競爭生長造成的。經過2次高溫熱循環后,α相的平均尺寸明顯變寬并沿擇優取向生長,新形成的板條保持一致的方向,并且與之前存在的一個方向相似。溫度較低熱循環時,部分保留在α及其附近的α群落沒有發生α→β轉變,但部分位于取向轉變邊界的α群落發生了α→β轉變,在冷卻過程中將有更多樣的生長發育取向。


基于上述微觀組織形貌表征以及熱循環溫度曲線,結合不同相形成的臨界冷卻速率,可以深入理解整個熱循環過程中相位演化的動態過程。第1次和第2次熱循環與α相的完全轉變有關,而第3次熱循環則關聯于部分α→β轉變,這主要是因為過程中的峰值溫度低于β轉變溫度。在未經歷熱循環的樣品中,晶界 αGB 直接沿 β晶界形核,而板條α沿晶界α向內生長形成α群落。隨著冷卻過程的推移,冷卻速率不斷下降,α群落向β晶粒內部生長,形成網籃狀的組織。然而第1次和第2次熱循環峰值溫度較高,大部分乃至全部α群落發生了α→β轉變。由于在晶界 αGB 處存在能量積累,并且晶粒沿擇優取向較多,因此晶界αGB周圍的α相不穩定,更容易轉化,這一點可以通過圖7的EBSD中α和β的面積分數統計結果得到證實。值得注意的是,在冷卻速率最快的前2次熱循環中,首先形成了晶界α。與未經熱循環的原始組織存在明顯差異。隨著冷卻的繼續進行,長而平行的α相群落在 αGB層的根部開始形成,其片層厚度也相對增大。與前2次熱循環相比,第3次熱循環的瞬時冷卻速率和平均冷卻速率以及峰值溫度均顯著降低。相應地,α群落的初始形成溫度隨著冷卻速率的降低,將高于β轉變溫度,這意味著α群落的穩定性得到了改善。因此,大多數a群落可以沿新的方向生長。同時,多重熱循環和緩慢的冷卻速率也促進了元素擴散,導致更多的β相被保留,殘余β相比例由0.02%增加至1.89%。
圖8為不同熱循環次數的微觀組織極圖,通過研究{0001}晶格平面族,可以評估熱循環對α相各向異性的影響。如圖8b所示,經歷第1次高溫熱循環,完全的α→β轉變導致α相具有強烈的擇優取向,這可歸因于較高的冷卻速率顯著提高了α相擇優取向。如圖8c所示,經歷第2次較高溫熱循環后,α相仍將表現出較高的擇優取向行為,遵循之前α相方向,擇優取向方向幾乎沒有發生改變。如圖8d所示,在第3次低溫熱循環過程中,部分α相發生了α→β→α轉變,此時較低的冷卻速率及溫度梯度顯著減弱了α相的擇優取向,因此織構強度降低。


3.3熱循環對焊接接頭力學性能的影響
3.3.1顯微硬度
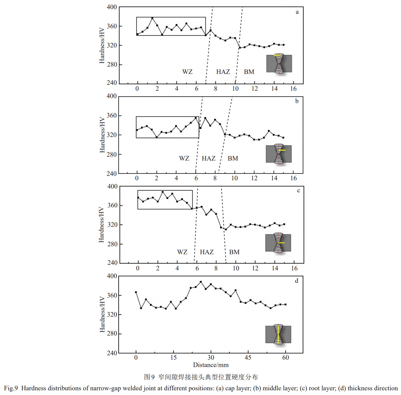
圖9為接頭硬度測量結果,其中WZ為焊接接頭區域,HAZ為熱影響區,BM為母材。試驗所用母材為TC4,硬度平均值約為320HV。在焊縫區和熱影響區,由于受熱和冷卻速度不均勻,造成不同區域焊縫組織存在較大差異,導致焊縫硬度波動顯著。熱影響區的硬度高于母材,這主要是由于該區域在熱循環后形成了細晶區,晶界αGB數量較多,同時保留了部分等軸原始α晶粒,這些因素共同貢獻了較高的硬度。焊縫表層硬度情況如圖9a所示。由于焊縫表層冷卻速度較快,β相通過非擴散相變形成了馬氏體,相變強化是硬度提高的主要原因。此外,焊接過程中通過對母材施加約束固定防止較大的焊接變形,經過多次熱循環后,應力集中導致α相發生畸變,產生加工硬化從而導致該區域硬度顯著增加。焊縫填充層硬度情況如圖9b所示,填充層由于受到后續焊縫的熱處理效應,經歷了α→β轉變,但由于冷卻速率和溫度梯度較低,冷卻后主要形成了α相,其硬度相對較低。同時,熱循環還導致了α相的粗化,進一步降低了接頭的硬度。焊縫打底層硬度情況如圖9c所示,打底層及相鄰的填充層由于焊接電流較小,熱輸入較小,形成了細小等軸晶,經歷更多次的熱循環,其晶粒和組織結構更加均勻,細晶強化作用效果高于馬氏體相變強化,因此硬度較高。焊縫顯微硬度的分布整體表現為打底層>蓋面層>填充層。

3.3.2拉伸性能
圖10為厚板接頭取不同層試樣的拉伸力學性能測試結果,斷裂均發生在焊縫區。蓋面層的抗拉強度最低,抗拉強度從上到下呈遞增趨勢,最高抗拉強度可達921MPa;從蓋面層到打底層的抗拉強度分別可達到母材的95.7%、96.2%和96.9%。與抗拉強度相比,延伸率呈現相反的變化趨勢,即蓋面層延伸率最高,約為7.8%,而打底層延伸率最低,約為6.7%,從上往下分別可達到母材的70.9%、64.5%和60.9%。拉伸試樣斷口宏觀與微觀形貌如圖11a~11f所示,所有斷口上存在密集排列大小深淺不一的韌窩,因此認為接頭存在一定的延展性,同時推斷拉伸試樣斷裂方式屬于韌性斷裂。不同位置拉伸試樣斷口微觀形貌沒有明顯差異。


4、結論
1)在高溫熱循環(第1次1441℃、第2次1042℃)過程中發生α→β的完全轉變,在擇優取向和競爭生長的綜合作用下導致α群落數量增多且方向較為統一。
2)在中低溫熱循環(718℃)過程中發生部分轉變,降低了高溫熱循環(α→β完全轉變)產生的高織構強度,豐富了α群落的生長方向。
3)板條α相的寬度在整個熱循環表現為先增加后降低的趨勢,但與無熱循環相比厚度變大;β相比例則在整個熱循環后表現為增加。
4)60mm厚焊接接頭焊縫顯微硬度的分布表現為打底層>蓋面層>填充層,主要原因是細晶強化作用;拉伸強度表現為打底層>填充層>蓋面層,延伸率相反。
參考文獻References
[1] Feng Liang(馮梁). Forum of World Economy& Politics(世界經濟與政治論壇)[J],2009(1):71
[2] Xu Jing,Lu Hao,Cai Linxuan et al. Materials[J],2023,16(20):6822
[3] Ren Yugang, Yang Lei, Liu Yanjun et al. Journal of Marine Science and Engineering[J], 2021, 9(6): 682
[4] Li Yanping, Huang Wei, He Yan et al. Rare Metal Materials and Engineering[J],2025,54(1):62
[5] Sun Fengyu, Yang Zhao, Hu Jie et al. Rare Metal Materials and Engineering[J],2025,54(1):76
[6]Wang Hua(王華),Zhao Tan(趙坦), Chen Yan(陳妍).Development and Application of Materials(材料開發與應用)[J],2023,38(3):88
[7] Feng Xudong, Xu Youwei, Shi Yu et al. Materials Letters[J],2024,374:137150
[8] Liu Junfeng, Yang Tao, Zhuang Yuan et al. Journal of Manufacturing Processes[J], 2023, 104: 87
[9] Sun Qi, Liu Yibo, Zhang Qinghua et al. Journal of Materials Processing Technology[J],2024,327:118376
[10] Sun Qingjie(孫清潔),Guo Ning(郭寧),Hu Haifeng(胡海峰)et al. The Chinese Journal of Nonferrous Metals(中國有色金屬學報)[J],2013,23(10):2833
[11]Zhang Yuxuan(張宇軒), Song Yuchen(宋雨宸), Wang Lin(王琳)et al.Titanium Industry Progress(鈦工業進展)[J],2024,41(4):30
[12] Yang Tao, Xiao Youheng, Zhuang Yuan et al. International Journal of Fatigue[J],2022,163:107030
[13] Long Jian, Jia Jinlong, Zhang Linjie et al. International Journal of Fatigue[J],2022,165:107214
[14] Zhou Yefei, Qin Guangkuo, Li Lei et al. Materials Science and Engineering A[J],2020,772:138654
[15] Wang Zhuang(王壯),Quan Yinzhu(權銀洙),Shi Yilei(石毅磊)et al. Rare Metal Materials and Engineering(稀有金屬材料與工程)[J],2024,53(10):2941
[16] Guo Xian, Oh Jeong Mok, Lee Junghoon et al. Welding in the World[J],2022,66(5):847
(注,原文標題:熱循環對TC4鈦合金窄間隙焊接接頭組織和性能的影響_孫琪)
相關鏈接